Hot Take: A Sharp Critique of Donut lab’s First Solid-State Battery Test Report
Source: WeChat Official Account “FreiLiu” 弗雷刘
Not long ago, the Finnish solid-state battery company Donut Lab made waves with a major announcement. They unveiled a battery cell technology boasting some truly staggering specs:
Energy Density: 400 Wh/kg
Charging Speed: Full charge in just 5 minutes
Discharge Profile: Encourages full charge/discharge cycles
Design Life: 100,000 cycles
Operating Temperature: -30°C to 100°C
Furthermore, the production process avoids rare materials entirely, utilizing “ubiquitous” eco-friendly materials that are free from geopolitical constraints. Perhaps most impressively, the production cost is reportedly lower than that of lithium-ion batteries with the same specifications.
Today, they finally released further details regarding this technology. Let’s dive in and see what they’ve shared.

The company’s official website is https://idonutbelieve.com/. The primary information released so far consists of two videos (also available on YouTube for those interested), along with a single-cell test report from VTT, a Finnish research institution. While the website provides some general overviews, most of the descriptions are quite vague and introductory. Consequently, this article will provide a comprehensive analysis, assessment, and inference based primarily on the test report, supplemented by the content from the videos and the webpage.
Let’s take a look at the test report first. In short, the content focuses entirely on capacity calibration and the results of 5C/11C charging.
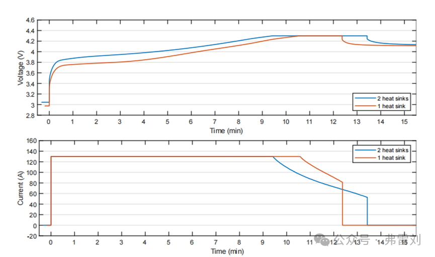
Their small pouch cell has a capacity of 26Ah. (To be honest, this is a bit of an awkward size—not quite small, but not quite large enough. For automotive power applications, it’s still on the lower side; I’d suggest they scale it up further.) The tests show it can handle 5C (130A) and even 11C (286A) charging, with a cutoff voltage of 4.3V (this is dynamic; the actual OCV is around 4.15V), and discharging down to 2.7V. They also compared the results of single-sided versus double-sided cooling (heat sink) contact on the cell, covering about seven sets of experiments with different combinations of C-rates and thermal conditions.
Now, for a bit of commentary:
Zero data on cycling: Can it actually hold up over a long period? We have no idea.
No complex testing: There’s a lack of rigorous stress tests, and surprisingly, not even basic information regarding energy density is included in the report.
Is it actually a “solid-state” battery? Well… your guess is as good as mine.
Is it a ternary (NCM) system?
Looking at the results, first of all: the voltage range is 2.7V to 4.15V, with a nominal voltage of 3.6V. This is essentially the textbook voltage window for a typical ternary chemistry system. If they truly invented some groundbreaking new chemical system, they should have explicitly stated it or backed it up with patents—but based on the information available so far, there doesn’t seem to be any.
If they are choosing from existing systems and aiming for high specific energy, it’s impossible to escape the ternary route. However, this directly contradicts their previous claims that the “production process avoids rare materials, utilizes ‘ubiquitous’ eco-friendly materials, remains free from geopolitical constraints, and costs less than standard lithium-ion batteries.” Even looking at the characteristics of the charge/discharge curves, everything points toward it being ternary.

Preliminary Capacity Test Results: Mediocre Energy Efficiency and Internal Resistance?
First, looking at the capacity calibration tests (1C/1C). With no environmental controls in place, we can see that for 100Wh charged in, only 91Wh is discharged. This 91% energy conversion efficiency is actually not that impressive.
Of course, if we consider that this might simply be an energy-optimized cell (rather than power-optimized), then this level of efficiency—and the internal resistance it implies—is perhaps not entirely surprising.
5C Fast Charging Test: Subpar Energy Efficiency and Thermal Management
Unsurprisingly, the energy conversion efficiency is even lower here than in the previous test. When it comes to thermal performance, with double-sided heat dissipation, the cell’s peak temperature reached 47°C. However, with single-sided heat dissipation, the peak temperature surged to 61.5°C.
The Verdict: High Internal Resistance and Thermal Management Challenges
It’s not hard to see that the internal resistance of this cell is significantly high. With even slightly suboptimal heat dissipation conditions, the temperature spikes to over 60°C. This points to poor energy conversion efficiency; furthermore, the more heat it generates, the more energy is required to drive the cooling system, which only further degrades the overall system efficiency.
To put this in perspective, compared to mass-produced batteries on the market today—such as the Kirin (Qilin) battery—modern cell thermal control is exceptionally refined. It’s practically unheard of for them to jump to 60°C+ so easily.
Of course, given that this is supposedly a “solid-state battery,” it is possible that its optimal operating temperature window is wider. While that remains a possibility, it still needs to be rigorously proven by future data—and certainly not by the results of just one or two cycles.
11C Charging: We’re Almost Boiling Water
The results for the high-rate tests are… telling:
Test 3 (Double-sided cooling): Peak temperature reached 63°C.
Test 6 (Single-sided cooling): Temperature hit 90°C—the cell’s rated safety limit. They actually had to stop and let it cool down before they could continue.
Test 7 (Single-sided cooling): Peak temperature hit 89°C.
At this point, we really need to ask: What is the point of 11C charging here? A massive amount of energy is being wasted as heat—you’re practically boiling water. Once the “fast charge” is done, the battery is so overheated it needs a “rest period,” and you then have to use even more energy to power the thermal management system just to dissipate that heat. Why not just design a cell with lower internal resistance and charge it at 3C or 4C? Wouldn’t that be a much more elegant solution?
Furthermore, how many cycles can this thing actually survive at 11C? Without a single shred of cycle-life data, how do we know this isn’t just a controlled abuse test?
So, why push for 11C at all? If I had to take a wild guess:
To win.
Overall Results & Conclusions of the Report
You can take a look at their summary here—there’s really no valuable new information to be found.
In short, while the battery can handle high-rate charging and discharging for a handful of cycles, its internal resistance is notably high, leading to severe heat generation. This brings us right back to those three original points:
Zero data on cycling: Can it actually hold up over the long term? We have no idea.
No complex testing: There’s a complete lack of rigorous stress tests, and they haven’t even provided basic data to verify the energy density.
Is it actually a “solid-state” battery? Well… your guess is as good as mine.
Further Commentary & Brief Discussion of Video Content
It wouldn’t be entirely fair to say their claims are pure vaporware; I think there are two highlights worth mentioning:
1) Operating Temperature Range: They do claim the battery can operate from -30°C to +100°C, even boasting a capacity retention rate of >99%. Now, obviously, there is a massive difference between achieving that at a 0.01C discharge versus a 1C discharge. Regardless, based on the short-term demonstrations shown, this system does seem to exhibit some impressive low-temperature performance and high-temperature stability.
2) No high external pressure required for operation. You could argue their data is “fluff” since they only released a few high-rate test results with terrible thermal performance; yet, you could also argue they are hitting the mark by focusing on wide temperature range and pressure-free operation—two of the industry’s biggest pain points. However, the million-dollar question remains: can this cell actually maintain stable output and performance over the long term without external pressure?
I’m curious. We’ll just have to wait and see what the future results bring.
Postscript
Alright, I’ve said enough for now. In short, this is all very “interesting,” and it’s definitely worth keeping an eye on—especially since they have more results coming out in a week.
As I always say, I’m more than happy to be proven wrong. If I end up with egg on my face one day, it will mean that a genuine technological breakthrough has actually happened.
Disclaimer: This article was written in my personal spare time and does not represent the views of any organization or institution.
Due to the limited knowledge and English level, inevitable errors and omissions will occur. If there are errors or infringements of the text, please contact me as soon as possible by private letter, and I will immediately correct or delete them.
Powering Precision: Test your battery performance with Neware.
Related News:
- Donut Lab’s First All-Solid-State Battery Test Report 2026
- A Guide to Making Highly Reproducible Li-Ion Single-Layer Pouch Cells for Academic Researchers Published August 23, 2023.
- How to overcharge a prismatic battery cell?2026 post
- Using NCM811 as an example, How to make lithium-ion battery cathode electrodes?










