How to evaluate lithium-ion battery capacity?
Evaluating the capacity performance of lithium-ion batteries is primarily conducted through cycle life testing. The core of such tests is to simulate the battery’s aging process during charge and discharge cycles, while monitoring key indicators such as capacity fading and internal resistance growth.
I. Core Testing Method: Cycle Life Testing
1. Testing Principle
Cycle life testing is conducted in a controlled environment (regulating temperature and humidity) by subjecting the battery to repetitive charge and discharge cycles to simulate real-world usage. By periodically measuring the battery’s actual discharge capacity and comparing it against the initial capacity, engineers calculate the capacity retention rate or fade rate to accurately evaluate the battery’s overall lifespan.
2. Standard Procedure
Initial Capacity Test (C1)
The process begins by performing 1 to 3 charge/discharge cycles at a standard rate (such as 0.5C). The average discharge capacity recorded during these cycles is defined as the initial capacity.
Cycle Parameter Settings
To ensure consistency, the following parameters are established:
Charge/Discharge Regime: A combination of Constant Current-Constant Voltage (CC-CV) charging and Constant Current (CC) discharging.
Cut-off Conditions: Specific voltage limits are set to prevent overcharging or over-discharging (e.g., a charge cut-off of 4.2V and a discharge cut-off of 2.8V).
Cycle Count (N): The testing continues until a target number of cycles is reached (commonly 500 or 1,000 cycles).
Capacity Checkpoints: Standard capacity tests (identical to the C1 phase) are performed at fixed intervals, such as every 50 or 100 cycles, to monitor performance trends.
Termination Criterion: The test concludes when the capacity fades to 80% of the initial capacity, which serves as the universal industry standard for the End-of-Life (EoL) threshold.
Neware End of line EOL testing equipment
3. Key Formulas:
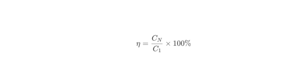
❶ Capacity Retention Rate (η):

CN: Discharge capacity after the Nth cycle;
C1: Initial capacity.
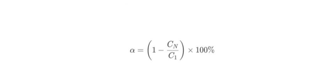
❷ Capacity Fade Rate (α):

❸ Cycle Life:

That is, the number of cycles when the capacity retention rate first drops to 80%.
II. Accelerated Cycle Testing
1. Purpose and Methodology
To reduce testing duration, rigorous conditions are often applied to accelerate the aging process. These methods help manufacturers predict long-term performance in a shorter timeframe by intensifying the factors that lead to battery degradation.
2. Common Acceleration Techniques
High-Temperature Cycling: Conducting cycles at elevated temperatures (e.g., 45°C) to accelerate chemical side reactions, such as the growth of the Solid Electrolyte Interphase (SEI) layer and electrolyte decomposition.
High C-Rate Charge/Discharge: Increasing the current (e.g., 1C or higher) to intensify polarization reactions and heighten mechanical stress within the battery cells.
Wide Voltage Window: Utilizing an expanded charge/discharge cut-off range (e.g., 2.5V–4.3V) to increase the structural stress on the electrodes.
3. Key Considerations
It is critical that accelerated testing results remain correlated with real-world operating conditions. Caution must be exercised to ensure that overly harsh conditions do not cause “distorted failure mechanisms”—where the battery fails in a way that would never actually occur during normal consumer use.
III. Calendar Life Testing
1. Purpose and Methodology
Calendar life testing evaluates the capacity degradation of a battery while in a storage state, simulating long-term idle scenarios. This is crucial for understanding how a battery loses its ability to hold a charge over time, even when it is not being actively cycled.
2. Testing Principle
The battery is stored for an extended period at a fixed State of Charge (SOC), such as 50% or 100%, and under specific temperature conditions. Engineers periodically perform check-up tests to measure changes in capacity and internal resistance, allowing them to track the “static” degradation rate.
3. Capacity Decay Model (Empirical Analysis)
Instead of using complex mathematical equations, industry professionals typically analyze calendar life through an empirical model that focuses on two primary variables:
Time Factor: Capacity loss is generally proportional to the square root of time. This means that degradation typically occurs more rapidly in the early stages of storage and slows down as the battery ages.
Temperature and SOC Influence: The rate of decay is highly sensitive to the storage environment. Higher temperatures and higher States of Charge (especially 100% SOC) significantly accelerate the chemical side reactions that lead to permanent capacity loss.
4. Key Formulas:
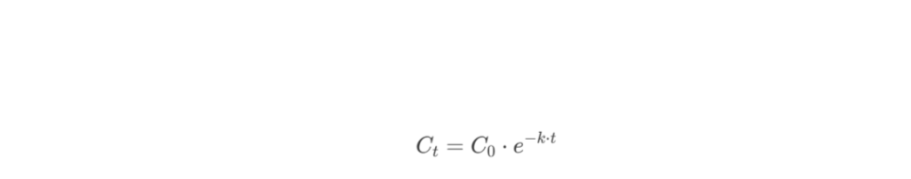
❶ Capacity Decay Model (Empirical Formula):

Ct: Capacity after storage time t;
k: Decay rate constant (related to temperature and SOC).
❷ Arrhenius Equation: Quantifying the Effect of Temperature on Decay

Ea: Activation energy, reflecting the sensitivity of decay to temperature;
T: Absolute temperature (K);
R: Gas constant.
IV. Post-Mortem Analysis
After completing cycle tests, a physical disassembly of the battery is performed to conduct a deep dive into the specific degradation mechanisms. This “autopsy” of the cell helps identify why the capacity faded.
Electrode Material Analysis: Techniques such as XRD (X-ray Diffraction) and SEM (Scanning Electron Microscopy) are used to detect structural changes in the cathode and anode materials, such as the collapse of layered structures or graphite exfoliation.
Interface Analysis: Tools like XPS (X-ray Photoelectron Spectroscopy) and FTIR (Fourier Transform Infrared Spectroscopy) analyze the chemical evolution of the SEI (Solid Electrolyte Interphase) and CEI (Cathode Electrolyte Interphase) layers, specifically looking for the accumulation of compounds like LiF and Li2CO3.
Electrolyte Consumption: GC-MS (Gas Chromatography-Mass Spectrometry) is utilized to detect decomposition products within the electrolyte, such as the breakdown of esters and ethers.
Conclusion
Core Methodology: Cycle life testing remains the fundamental method for evaluating long-term capacity performance. It requires quantifying degradation through capacity retention rates to determine a battery’s functional lifespan.
Efficiency vs. Accuracy: While accelerated testing can significantly shorten development cycles, test conditions must be designed with caution to avoid distorting the natural failure mechanisms of the battery.
Comprehensive Evaluation: A truly complete assessment must combine cycling data with post-mortem analysis and impedance spectroscopy. This holistic approach reveals the deep-seated causes of capacity loss, such as lithium inventory depletion and material structural degradation.
Due to the limited knowledge and English level is inevitable errors and omissions, if there are errors or infringement of the text, please contact me as soon as possible by private letter, I will immediately be corrected or deleted.
Neware battery testers for cells
Neware battery testers for battery modules and packs

