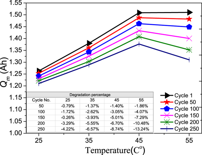
Temperature has a significant impact on battery performance. A battery releases energy through electro-chemical reactions and these reactions are encouraged by higher ambient temperatures. Different battery chemistries have different ranges of optimal operating temperatures. Depending on the application or the climate that the battery will be used in, they would be required to operate in higher or lower temperatures.
However, operating batteries at extreme temperatures also comes with risks. At higher temperatures, there is a reduction in internal resistance, which means higher electron mobility and greater charge/discharge rates. Nevertheless, studies have also shown operating a battery at elevated temperatures speeds up degradation, diminishing the cell’s life cycle.
Continuous exposure to high temperatures can also cause unwanted chemical reactions and result in gas, corrosion, or even fires and explosions. Moreover, a battery cell can enter into thermal runaway — when the cell heats up faster than heat can dissipate, causing a continuous increase in temperature. If one cell in the pack heats up, this can quickly cause the whole pack to overheat, undermining the safety of the system, machine, or surrounding people.
Conversely, lower temperatures decrease battery performance and energy capacity. Electro-chemical reactions are not as active and the internal resistance increases, damaging the battery in the long run. This is why it is extremely crucial to take temperature into account when testing batteries.
Why is temperature important in battery testing?
Battery researchers need to establish how a battery would react under different temperatures to see if they are suitable for their intended application and location of use. As new battery chemistries emerge or existing ones improve, researchers must conduct testing to determine the battery’s optimal temperature range for peak performance. Moreover, this helps determine whether it is suitable for conditions they are intended to operate in. Comprehensive testing under different temperatures also helps determine which conditions can negatively impact battery performance, and allow users to better prevent dangerous situations from occurring.

How Neware can support temperature-controlled testing?
Neware can support labs with various products when temperature-controlled testing is needed. Neware provides two different types of battery temperature measurement options: thermocouple and thermistor, depending on your testing needs. Thermal sensors provide reliable temperature readings so that labs can more completely assess a battery’s performance. The different sensor types are appropriate for certain ranges of temperature, with varying response times and susceptibility to electrical noise. Experts at Neware are able to help labs evaluate the most appropriate sensor for the intended application.


Testing equipment that can best support a battery research lab will need to facilitate both safety and productivity. At Neware, our experts can assist in planning and recommending solutions and products that best fit your requirements. Contact us now to learn more about how we can assist you with temperature-controlled testing needs. Contact Neware
Due to the limited knowledge and English level is inevitable errors and omissions, if there are errors or infringement of the text, please contact me as soon as possible by private letter, I will immediately be corrected or deleted.
Contact Neware

